Retiform Purpura ผื่นคล้ายร่างแหแบบนี้เกิดจาก

[ APPROACH TO Retiform Purpura ]

หากพบเจอ ผื่นปื้นแดงที่มีลักษณะคล้ายร่างแหร่วมด้วย ดังภาพ ทำให้นึกถึงว่าอาจเป็นรอยโรคที่เกิดจากพยาธิสภาพที่เส้นเลือดบริเวณผิวหนัง ที่เรียกว่า “Retiform Purpura” หากอาการเป็นมากขึ้น อาจทำให้เกิดแผลและมีการตายของผิวหนัง (Central necrosis and ulcer) ตามมาในที่สุด

Clues การวินิจฉัยและรักษา

STEP 1️⃣ มองหาสาเหตุ ดังนี้

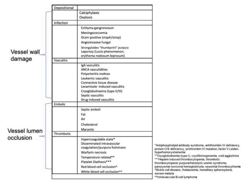
แบ่งตามส่วนประกอบของหลอดเลือด ได้แก่

  1. ผนังหลอดเลือด
    เช่น vasculitis, deposition, angioinvasion from organism
  2. ภายในหลอดเลือด มีการอุดตัน (occlusion)
    โดยอาจเป็นจาก thrombosis หรือ emboli
  3. เม็ดเลือดและสารประกอบของเลือด (Blood component)
    เช่น hyperviscosity จากโรคต่าง ๆ เช่น MPN, Monoclonal gammopathies, Hematologic malignancy, Cryoglobulinemia

แบ่งตามการอักเสบ ได้แก่

  1. Inflammatory retiform purpura
    คือ มีผื่นอักเสบบวมแดง > 2/3 ของรอยโรค + ผื่นตรงกลางมี central impending necrosis < 1/3 ของรอยโรค
    กลุ่มนี้มักเกิดจาก vasculitis, infectious process
  2. Noninflammatory retiform purpura
    คือ มีผื่นอักเสบบวมแดง < 1/3 ของรอยโรค + ผื่นตรงกลางมี central impending necrosis > 2/3 ของรอยโรค
    กลุ่มนี้มักเกิดจาก occlusion

ข้อควรระวัง ในบางโรคอาจพบได้ทั้งชนิด Inflammatory & Noninflammatory type

เช่น cryoglobulinemia, sepsis, levomisole associated

แบ่งตามระยะเวลาการเกิด

  1. Acute มักเกิดจาก
    ▫️Infectious process เช่น purpura fulminans
    ▫️Medication เช่น warfarin-induced skin necrosis, heparin induced thrombocytopenia
  2. Chronic มักพบผื่นหลายระยะ เช่น atrophie blance-like scarring เช่น
    ▫️Livedoid vasculopathies

{ ดูสาเหตุอื่นเพิ่มเติมจากตาราง }

Step 2️⃣ ดูลักษณะผู้ป่วย (Status of patient)

การผู้ป่วยดูรุนแรง มีไข้ ซึมสับสน look severely ill, rapidly progressive, sesis อาจนำไปสู่การเสียชีวิตได้
• ควรรีบทำ skin biopsy ถ้าเป็นไปได้
• Work up ตาม flow ข้างต้น { New Onset Purpura }
• ให้ยา empyrical antibiotics and antifungal agents ไปก่อน
• Work up vasculitis
• Review ยาที่อาจเป็นสาเหตุ

Step 3️⃣ ดูตำแหน่งผื่น

• ผื่นที่เป็น generalized retiform purpura อาจเกิดได้ทั้งจาก inflammatory or non inflammatory types
• บางโรคมักเกิดผื่นชนิดนี้ใน บริเวณจำเพาะ ดูตามรูปเพิ่มเติม เช่น
• Free cartilage of ear in levamisole-induced purpura
• Peri-umbilical “thumbprint” purpura in disseminated strongyloides
{ ดูเพิ่มเติมในรูป }

Step 4️⃣ Medical and Family history

• ESRD นึกถึง calciphylaxis
• Family history, History of stroke/abortion นึกถึง antiphospholipid syndrome
{ ดูเพิ่มเติมในรูป }

Step 5️⃣ Review of systems
ซักประวัติตามตาราง

Step 6️⃣ Physical exam
ตรวจร่างกายตามตารางข้างต้น


Reference Retiform Purpura: A Diagnostic Approach, Journal of the American Academy of Dermatology (2019), doi: https://doi.org/10.1016/ j.jaad.2019.07.112.


บทความลิขสิทธิ์ Copyright © HELLO SKIN by หมอผิวหนัง All rights reserved.

Leave a comment